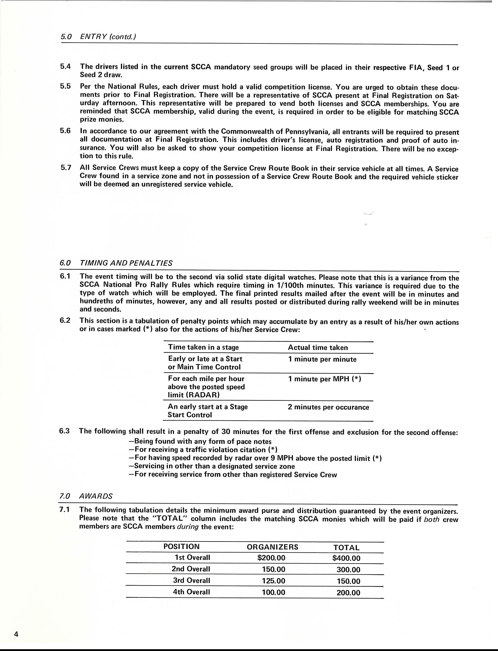
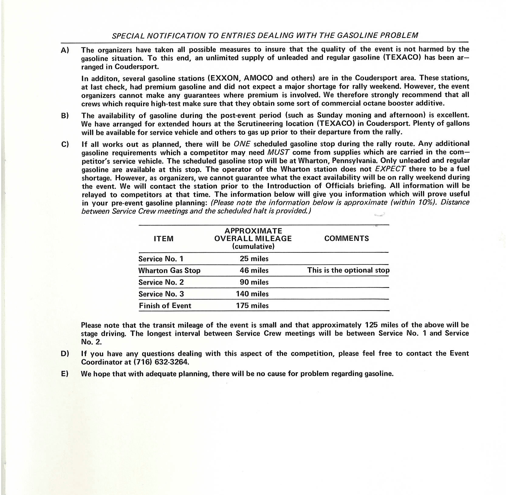
HIS 1980
HIS 1980
HIS 1980
HIS 1980
HIS 1980
HIS 1980
HIS 1980
HIS 1980


HIS 1980
Results 1980
RRN Index